新闻通知
当前位置: 首页>>新闻通知>>正文

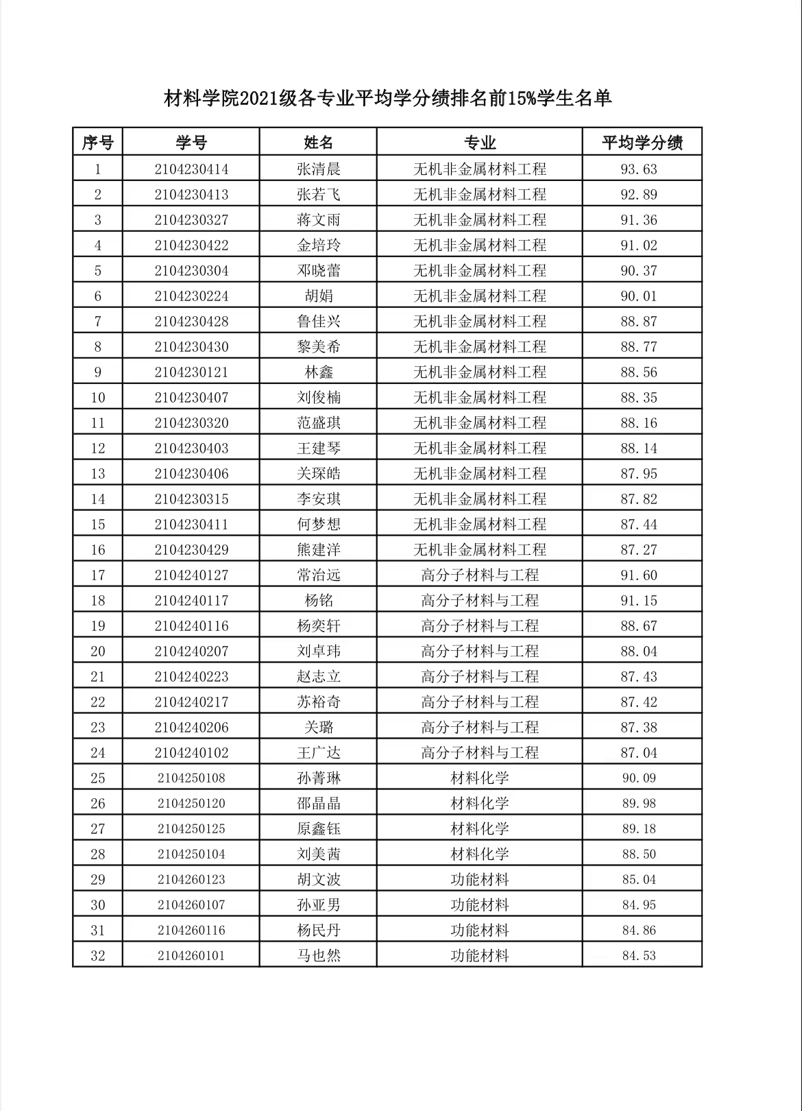
​三亿体育2021级本科生符合转专业条件员工名单

来源:三亿体育 编辑:​三亿体育-赵丽佳 发布时间:2022年07月19日 13:57 浏览次数:

序号

1

2104230414

张清晨

无机非金属材料工程

2

2104230304

邓晓蕾

无机非金属材料工程

3

2104230224

胡娟

无机非金属材料工程

4

2104230430

黎美希

无机非金属材料工程

5

2104230429

熊建洋

无机非金属材料工程

6

2104240127

常治远

高分子材料与工程

7

2104240116

杨奕轩

高分子材料与工程

8

2104240206

关璐

高分子材料与工程

9

2104240102

王广达

高分子材料与工程

附:​三亿体育2021级各专业平均学分绩排名前15%员工名单


​三亿体育

2022718



关闭

Copyright 三亿(集团)体育科技有限公司官网 版权所有 All Rights Reserved. 地址:辽宁省沈阳市浑南区浑南中路25号 三亿体育 丁2楼四楼